Advertisement link
Struktur lapisan kulit bumiLitosfer adalah lapisan kulit bumi yang paling atas. Lapisan ini pada umumnya terjadi dari senyawa kimia yang kaya akan SiO2. Itulah sebabnya lapisan litosfer seringkali dinamakan lapisan silikat. Lapisan ini memiliki ketebalan sampai 70 km. Menurut Klarke dan Washington, batuan di permukaan bumi hampir 75% terdiri atas Silikon Oksida dan Aluminium oksida. Dengan demikian, lapisan litosfer dinamakan juga lapisan batuan. Batuan merupakan bahan utama pembentuk kulit bumi. Induk segala batuan ialah magma. Magma adalah batuan cair pijar yang bersuhu tinggi dan mengandung berbagai unsur mineral dan gas. Kulit bumi atau litosfer tersusun oleh sekitar 90 jenis unsur kimia yang satu dengan lainnya membentuk persenyawaan yang disebut mineral.
Di dalam litosfer terdapat lebih dari 2000 mineral dan hanya 20 mineral yang terdapat dalam batuan. Mineral pembentuk batuan yang penting, yaitu Kuarsa (Si02), Feldspar, Piroksen, Mika Putih (K-Al-Silikat), Biotit atau Mika Cokelat (K-Fe-Al-Silikat), Amphibol, Khlorit, Kalsit (CaC03), Dolomit (CaMgCO3), Olivin (Mg, Fe), Bijih Besi Hematit (Fe2O3), Magnetik (Fe3O2), dan Limonit (Fe3OH2O).
![]() |
| lapisan-lapisan bumi |
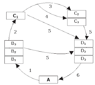
Batuan pembentuk kulit bumi selalu mengalami siklus atau daur, yaitu batuan mengalami perubahan wujud dari magma, batuan beku, batuan sedimen, batuan malihan, dan kembali lagi menjadi magma. Secara berurutan batuan itu mengalami peristiwa sebagai berikut
Keterangan:
A : Magma
B1 : Batuan beku dalam
B2 : Batuan beku korok
B3 : Batuan beku luar
C1 : Batuan sedimen klastik
C2 : Batuan sedimen organik
C3 : Batuan sedimen termik
D1 : Batuan malihan dinamik
D2 : Batuan malihan termik
D3 : Batuan malihan pneumatolitik
1 : pendinginan
2 : pengangkutan
3 : pelarutan
4 : organisma
5 : penambahan suhu dan
tekanan yang lama
6 : penelanan oleh magma


Tidak ada komentar:
Posting Komentar